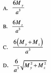
梁的横截面为边长a的正方形,弯矩在垂直于边的两个方向分量为My、Mz,且My>Mz>0,该截面上最大正应力为()。

作者: tihaiku 人气: - 评论: 0
问题 梁的横截面为边长a的正方形,弯矩在垂直于边的两个方向分量为My、Mz,且My>Mz>0,该截面上最大正应力为()。
选项
答案 C
解析

相关内容:横截,边长,正方形,弯矩,于边,两个,方向,分量,该截,面上,大正,应力

猜你喜欢

发表评论
更多 网友评论0 条评论)
暂无评论

访问排行

Copyright © 2012-2014 恰考网 Inc. 保留所有权利。 Powered by tikuer.com

页面耗时0.0398秒, 内存占用1.05 MB, Cache:redis,访问数据库19次