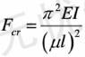
细长压杆,若其长度因数增加一倍,则临界压力的变化为()。A.增加1倍 B.为原来的4倍 C.为原来的1/4 D.为原来的1/2

作者: tihaiku 人气: - 评论: 0
问题 细长压杆,若其长度因数增加一倍,则临界压力的变化为()。
选项 A.增加1倍 B.为原来的4倍 C.为原来的1/4 D.为原来的1/2
答案 C
解析 由欧拉临界力计算式可知,临界压力Fcr与压杆的长度因数μ的二次方成反比。

相关内容:压杆,若其,长度,因数,压力

猜你喜欢

发表评论
更多 网友评论0 条评论)
暂无评论

访问排行

Copyright © 2012-2014 恰考网 Inc. 保留所有权利。 Powered by tikuer.com

页面耗时0.0377秒, 内存占用1.04 MB, Cache:redis,访问数据库20次