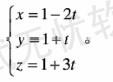
设直线L的方程为则L的参数方程是()。

作者: tihaiku 人气: - 评论: 0
问题 设直线L的方程为则L的参数方程是()。
选项
答案 A
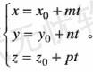
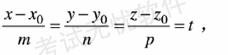
解析 过点M0(X0,y0,z0)的直线,S=(m,n,p)为其一个方向向量,若设参数t如下: 则其参数式方程可写作 直线的方向向量应与所在两个平而的法向量都垂直,即 直线过点(1,1,1),从而参数方程为:

相关内容:直线,方程,参数

猜你喜欢

发表评论
更多 网友评论0 条评论)
暂无评论

访问排行

Copyright © 2012-2014 恰考网 Inc. 保留所有权利。 Powered by tikuer.com

页面耗时0.0779秒, 内存占用1.04 MB, Cache:redis,访问数据库20次