平行于x轴且经过点(4,0,一2)和点(2,1,1)的平面方程是()。A. x-4y+2z=0 B. 3x+2z-8=0 C. 3y-z-2=0 D...

作者: tihaiku 人气: - 评论: 0
问题 平行于x轴且经过点(4,0,一2)和点(2,1,1)的平面方程是()。
选项 A. x-4y+2z=0 B. 3x+2z-8=0 C. 3y-z-2=0 D. 3y+z-4=0
答案 C
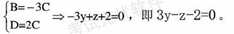
解析 x轴的方向向量为(1,0,0),要使平面与其平行,需使平面法向量与之垂直,即二者数量积为0,从而法向量中i分量的系数为0,即方程中X的系数为0。设平面方程为By+CZ+D=0,将已知两点坐标代入得

相关内容:轴且,和点,平面,方程,x-4y+2z,3x+2z-8,3y-z-2

猜你喜欢

发表评论
更多 网友评论0 条评论)
暂无评论

访问排行

Copyright © 2012-2014 恰考网 Inc. 保留所有权利。 Powered by tikuer.com

页面耗时0.0371秒, 内存占用1.04 MB, Cache:redis,访问数据库19次