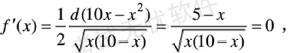
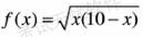
在[0,10]上的最大值和最小值依次为()。A. 0,0 B.不存在,0 C. 5,0 D. 5,不存在

作者: tihaiku 人气: - 评论: 0
问题 在[0,10]上的最大值和最小值依次为()。
选项 A. 0,0 B.不存在,0 C. 5,0 D. 5,不存在
答案 C
解析 函数最值的求法为:找出区间内所有驻点及不可导点,求出对应的函数值,并与区间端点处的函数值相比较,从中选出最大值和最小值。令得x=5,f(5)=5,f(0)=0,f(10)=0,故最大值为5,最小值为0。

猜你喜欢

发表评论
更多 网友评论0 条评论)
暂无评论

访问排行

Copyright © 2012-2014 恰考网 Inc. 保留所有权利。 Powered by tikuer.com

页面耗时0.0504秒, 内存占用1.03 MB, Cache:redis,访问数据库19次