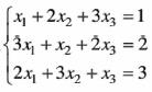
给定线性方程组则其解的情况正确的是()。A.有无穷多个解 B.有唯一解 C.有多于1个的有限个解 D.无解

作者: tihaiku 人气: - 评论: 0
问题 给定线性方程组则其解的情况正确的是()。
选项 A.有无穷多个解 B.有唯一解 C.有多于1个的有限个解 D.无解
答案 B
解析

相关内容:线性,方程组,情况,个解

猜你喜欢

发表评论
更多 网友评论0 条评论)
暂无评论

访问排行

Copyright © 2012-2014 恰考网 Inc. 保留所有权利。 Powered by tikuer.com

页面耗时0.0476秒, 内存占用1.05 MB, Cache:redis,访问数据库20次