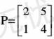
设矩阵则其逆矩阵P-1是()。

作者: tihaiku 人气: - 评论: 0
问题 设矩阵则其逆矩阵P-1是()。
选项
答案 D
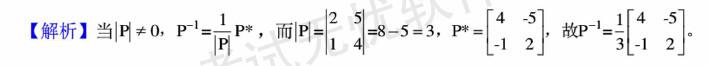
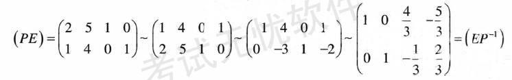
解析 注:二阶行列式求伴随矩阵的规律为:主对角线元素互换,副对角线元素变号。 方法二:

猜你喜欢

发表评论
更多 网友评论0 条评论)
暂无评论

访问排行

Copyright © 2012-2014 恰考网 Inc. 保留所有权利。 Powered by tikuer.com

页面耗时0.0319秒, 内存占用1.03 MB, Cache:redis,访问数据库16次