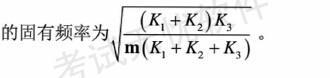
如图所示,三根弹簧的刚性系数分别为k1,k2,k3,振体的质量为m,则此系统沿铅垂方向振动的固有圆频率为()。

作者: tihaiku 人气: - 评论: 0
问题 如图所示,三根弹簧的刚性系数分别为k1,k2,k3,振体的质量为m,则此系统沿铅垂方向振动的固有圆频率为()。
选项
答案 B
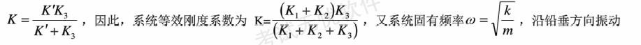
解析 图示系统是刚性系数为K1、K2的两个弹簧先并联,K’=K1+K2,再与刚性系数为K3的弹簧串联,

相关内容:如图,三根,弹簧,刚性,系数,振体,质量,系统,沿铅,方向,振动,频率

猜你喜欢

发表评论
更多 网友评论0 条评论)
暂无评论

访问排行

Copyright © 2012-2014 恰考网 Inc. 保留所有权利。 Powered by tikuer.com

页面耗时0.0467秒, 内存占用1.05 MB, Cache:redis,访问数据库19次