在两个半径及质量均相同的均质滑轮A及B上,各绕一不计质量的绳,如图所示,轮B绳末端挂一重量为P的重物;轮A绳末端作用一铅垂向下的力P。则此两轮的角加速度大...

作者: tihaiku 人气: - 评论: 0
问题 在两个半径及质量均相同的均质滑轮A及B上,各绕一不计质量的绳,如图所示,轮B绳末端挂一重量为P的重物;轮A绳末端作用一铅垂向下的力P。则此两轮的角加速度大小之间的关系为()。
选项 A.εA=εB B.εA>εB C.εA<εB D.无法判断
答案 B
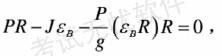
解析 设滑轮绕轴转动的转动惯量为J,(a)图所示系统的动力学方程PR-JεA=0,力矩完全转化为滑轮动能;(b)图所示系统的动力学方程为力矩转化为滑轮动能和物体动能。解方程即得εA>εB 。

相关内容:两个,半径,质量,滑轮,各绕,如图,末端,重量,重物,作用,一铅,角加速度

猜你喜欢

发表评论
更多 网友评论0 条评论)
暂无评论

访问排行

Copyright © 2012-2014 恰考网 Inc. 保留所有权利。 Powered by tikuer.com

页面耗时0.0625秒, 内存占用1.05 MB, Cache:redis,访问数据库18次