正方形受压短柱如图(a)所示,若将短柱中间部分挖去一槽,如图(b)所示,则开槽后柱的最大压应力比未开槽时增加()倍。 A. 2 B. 5 C. 7 ...

作者: tihaiku 人气: - 评论: 0
问题 正方形受压短柱如图(a)所示,若将短柱中间部分挖去一槽,如图(b)所示,则开槽后柱的最大压应力比未开槽时增加()倍。
选项 A. 2 B. 5 C. 7 D. 8
答案 D
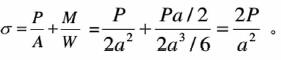
解析 未开槽时,杆件为轴向受压,其最大压应力为P/(4a2),开槽后,开槽段是偏心受压,将力向截面形心简化可得一等效力P和一等效力偶M=Pa/2;其最大压应力

相关内容:正方形,短柱,如图,部分,一槽,开槽,应力,比未

猜你喜欢

发表评论
更多 网友评论0 条评论)
暂无评论

访问排行

Copyright © 2012-2014 恰考网 Inc. 保留所有权利。 Powered by tikuer.com

页面耗时0.0297秒, 内存占用1.04 MB, Cache:redis,访问数据库19次