图示单元体属于()应力状态。 A.单向应力状态 B. 二向应力状态 C.三向应力状态 D.纯剪应力状态

作者: tihaiku 人气: - 评论: 0
问题 图示单元体属于()应力状态。
选项 A.单向应力状态 B. 二向应力状态 C.三向应力状态 D.纯剪应力状态
答案 A
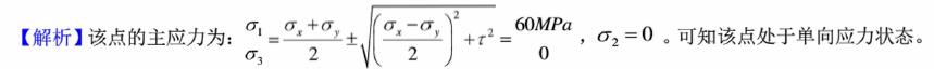
解析

相关内容:单元,应力,状态

猜你喜欢

发表评论
更多 网友评论0 条评论)
暂无评论

访问排行

Copyright © 2012-2014 恰考网 Inc. 保留所有权利。 Powered by tikuer.com

页面耗时0.0421秒, 内存占用1.04 MB, Cache:redis,访问数据库18次