500kV架空送电线路,导线采用4xLGJ-400/35,子导线直径26.8mm,重量1.348kg/m,位于土壤电阻率100Ω?m地区。 某基铁...

作者: tihaiku 人气: - 评论: 0
问题 500kV架空送电线路,导线采用4xLGJ-400/35,子导线直径26.8mm,重量1.348kg/m,位于土壤电阻率100Ω?m地区。 某基铁塔全高60m,位于海拔79m、0级污秽区,悬垂单串绝缘子型号为XP-16(爬电距离290mm,有效系数1.0,结构高度155mm),用爬电比距法计算确定绝缘子片数时,下列哪项是正确的?() (A)27片 (B)28片 (C)29片 (D)30片
选项
答案 B
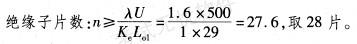
解析 《110kV?750kV架空输电线路设计规范》(GB50545-2010)第7.0.5条。 根据《高压配电装置设计技术规程》(DL/T5352-2006)附录A表A.2,爬电比距λ=1.6cm/kV 注:相对于变电站,架空送电线路绝缘子片数量应采用《110kV?750kV架空输电线路设计规范》(GB50545-2010)中的公式计算,选用标称电压及其爬电比距,且不再考虑增加零值绝缘子。爬电比距也可参考《导体和电器选择设计技术规定》(DL/T5222-2005)附录C表C.2。另,题干要求按爬电比距法计算绝缘子片个数,而基塔高度超过40m需进行修正是针对操作过电压和雷电过电压的绝缘子片数而言的,与题意不符。

相关内容:架空,线路,导线,4xLGJ-400,直径,26.8mm,重量,1.348kg,土壤,电阻率,地区,某基

猜你喜欢

发表评论
更多 网友评论0 条评论)
暂无评论

访问排行

Copyright © 2012-2014 恰考网 Inc. 保留所有权利。 Powered by tikuer.com

页面耗时0.0597秒, 内存占用1.04 MB, Cache:redis,访问数据库18次