500kV架空送电线路,导线采用4xLGJ-400/35,子导线直径26.8mm,重量1.348kg/m,位于土壤电阻率100Ω?m地区。 某基铁...

作者: tihaiku 人气: - 评论: 0
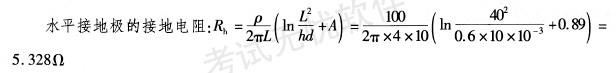
问题 500kV架空送电线路,导线采用4xLGJ-400/35,子导线直径26.8mm,重量1.348kg/m,位于土壤电阻率100Ω?m地区。 某基铁塔需加人工接地来降低其接地电阻,若接地体采用Φ10圆钢,按十字形水平敷设,人工接地体的埋设深度为0.6m,四条射线的长度均为10m,请计算这基杆塔的工频接地电阻应为下列哪项数值?(不考虑钢筋混凝土基础的自然接地效果、形状系数取0.89)() (A)2.57Ω (B)3.68Ω (C)5.33Ω (D)5.63Ω
选项
答案 C
解析 《交流电气装置的接地设计规范》(GB/T50065-2011)附录A第A.0.2条。

相关内容:架空,线路,导线,4xLGJ-400,直径,26.8mm,重量,1.348kg,土壤,电阻率,地区,某基

猜你喜欢

发表评论
更多 网友评论0 条评论)
暂无评论

访问排行

Copyright © 2012-2014 恰考网 Inc. 保留所有权利。 Powered by tikuer.com

页面耗时0.0517秒, 内存占用1.03 MB, Cache:redis,访问数据库14次