500kV架空送电线路,导线采用4xLGJ-400/35,子导线直径26.8mm,重量1.348kg/m,位于土壤电阻率100Ω?m地区。 若绝缘...

作者: tihaiku 人气: - 评论: 0
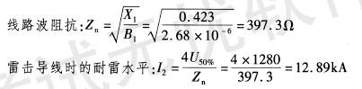
问题 500kV架空送电线路,导线采用4xLGJ-400/35,子导线直径26.8mm,重量1.348kg/m,位于土壤电阻率100Ω?m地区。 若绝缘子串U50%雷电冲击放电电压为1280kV,相导线电抗X1=0.423Ω/km,电纳B1=2.68x10-6(1/Ω?km),在雷击导线时,计算其耐雷水平应为下列哪项数值?() (A)70.48kA (B)50.12kA (C)15.26kA (D)12.89kA
选项
答案 D
解析 《电力工程高压送电线路设计手册》(第二版)P24式(2-1-41)和P129式(2-7-39)。 注:可对照2011年案例分析试题(下午卷)第32题计算。

相关内容:架空,线路,导线,4xLGJ-400,直径,26.8mm,重量,1.348kg,土壤,电阻率,地区,绝缘

猜你喜欢

发表评论
更多 网友评论0 条评论)
暂无评论

访问排行

Copyright © 2012-2014 恰考网 Inc. 保留所有权利。 Powered by tikuer.com

页面耗时0.0459秒, 内存占用1.04 MB, Cache:redis,访问数据库19次