某区域电网中运行一座500kV变电所,根据负荷发展情况需要扩建,该变电所现状、本期及远景建设规划见表。 请计算本期扩建的2台1000MVA主变压器满...

作者: tihaiku 人气: - 评论: 0
问题 某区域电网中运行一座500kV变电所,根据负荷发展情况需要扩建,该变电所现状、本期及远景建设规划见表。 请计算本期扩建的2台1000MVA主变压器满载时,最大无功损耗为下列哪项数值?(不考虑变压器空载电流) () (A)105MVA (B)160MVA (C)265MV
选项 A (D)320MVA
答案 D
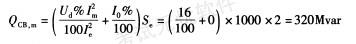
解析 《电力工程电气设计手册》(电气一次部分)P476式(9-2)。 当不考虑变压器空载电流,且主变压器满载时,其最大负荷电流为额定电流,则最大无功损耗:

相关内容:区域,网中,运行,一座,变电所,根据,负荷,发展,情况,需要,现状,远景,建设规划,1000MVA,变压器

猜你喜欢

发表评论
更多 网友评论0 条评论)
暂无评论

访问排行

Copyright © 2012-2014 恰考网 Inc. 保留所有权利。 Powered by tikuer.com

页面耗时0.0492秒, 内存占用1.04 MB, Cache:redis,访问数据库13次