110kV架空送电线路架设双地线,采用具有代表性的酒杯塔,塔的全高为33m,双地线对边相导线的保护角为10°,导地线高度差为3.5m,地线平均高度为20m...

作者: tihaiku 人气: - 评论: 0
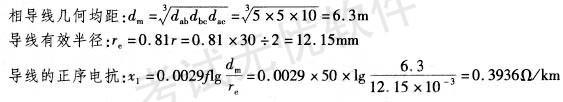
问题 110kV架空送电线路架设双地线,采用具有代表性的酒杯塔,塔的全高为33m,双地线对边相导线的保护角为10°,导地线高度差为3.5m,地线平均高度为20m,导线平均高度为15m,导线为LGJ-500/35(直径d=30mm)钢芯铝绞线,两边相间距d13=10.0m,中边相间距d12=d23=5m,塔头空气间隙的50%放电电压U50%为800kV。 每相的平均电抗值x1为下列哪项?(提示:频率为50Hz)() (A)0.380Ω/km (B)0.423Ω/km (C)0.394Ω/km (D)0.420Ω/km
选项
答案 C
解析 《电力工程高压送电线路设计手册》(第二版)P16式(2-1-2)。

相关内容:架空,线路,地线,代表,酒杯塔,全高,导线,保护,高度,20m...

猜你喜欢

发表评论
更多 网友评论0 条评论)
暂无评论

访问排行

Copyright © 2012-2014 恰考网 Inc. 保留所有权利。 Powered by tikuer.com

页面耗时0.0398秒, 内存占用1.05 MB, Cache:redis,访问数据库19次