110kV架空送电线路架设双地线,采用具有代表性的酒杯塔,塔的全高为33m,双地线对边相导线的保护角为10°,导地线高度差为3.5m,地线平均高度为20m...

作者: tihaiku 人气: - 评论: 0
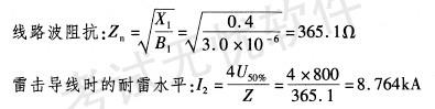
问题 110kV架空送电线路架设双地线,采用具有代表性的酒杯塔,塔的全高为33m,双地线对边相导线的保护角为10°,导地线高度差为3.5m,地线平均高度为20m,导线平均高度为15m,导线为LGJ-500/35(直径d=30mm)钢芯铝绞线,两边相间距d13=10.0m,中边相间距d12=d23=5m,塔头空气间隙的50%放电电压U50%为800kV。 设相导线X1=0.4Ω/km,电纳B1=3.0x10-6s/km,雷击导线时,其耐雷水平为下列哪项数值?(保留两位小数) (A)8.00kA (B)8.77kA (C)8.12kA (D)9.75kA
选项
答案 B
解析 《电力工程高压送电线路设计手册》(第二版)P24式(2-1-41)和P129式(2-7-39)。 注:可对照2013年案例分析上午卷第23题计算。

相关内容:架空,线路,地线,代表,酒杯塔,全高,导线,保护,高度,20m...

猜你喜欢

发表评论
更多 网友评论0 条评论)
暂无评论

访问排行

Copyright © 2012-2014 恰考网 Inc. 保留所有权利。 Powered by tikuer.com

页面耗时0.0382秒, 内存占用1.05 MB, Cache:redis,访问数据库19次