发电厂(或变电所)的220kV配电装置,地处海拔高度3000m,盐密0.18mg/cm2,采用户外敞开式中型布置,构架高度为20m。220kV采用无间隙金...

作者: tihaiku 人气: - 评论: 0
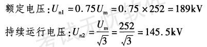
问题 发电厂(或变电所)的220kV配电装置,地处海拔高度3000m,盐密0.18mg/cm2,采用户外敞开式中型布置,构架高度为20m。220kV采用无间隙金属氧化物避雷器和避雷针作为雷电过电压保护。请回答下列问题(计算保留两位小数) 该配电装置母线避雷器的额定电压和持续运行电压应选择下列哪组数据?依据是什么?() (A)165kV,127.02kV (B)175.2kV,132.79kV (C)181.5kV,139.72kV (D)189kV,145.49kV
选项
答案 D
解析 《交流电气装置的过电压保护和绝缘配合》(DL/T620-1997)第5.3.4条及表3。 注:Um为最高电压,可參考《标准电压》(GB/T156-2007)第4.3条~4.5条。

相关内容:发电厂,变电所,装置,海拔,高度,盐密,0.18mg,户外,构架,间隙

猜你喜欢

发表评论
更多 网友评论0 条评论)
暂无评论

访问排行

Copyright © 2012-2014 恰考网 Inc. 保留所有权利。 Powered by tikuer.com

页面耗时0.0303秒, 内存占用1.04 MB, Cache:redis,访问数据库17次