发电厂(或变电所)的220kV配电装置,地处海拔高度3000m,盐密0.18mg/cm2,采用户外敞开式中型布置,构架高度为20m。220kV采用无间隙金...

作者: tihaiku 人气: - 评论: 0
问题 发电厂(或变电所)的220kV配电装置,地处海拔高度3000m,盐密0.18mg/cm2,采用户外敞开式中型布置,构架高度为20m。220kV采用无间隙金属氧化物避雷器和避雷针作为雷电过电压保护。请回答下列问题(计算保留两位小数) 该220kV系统工频过电压一般不应超过下列哪一数值?依据是什么?() (A)189.14kV (C)327.6kV (B)203.69kV (D)352.8kV
选项
答案 A
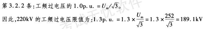
解析 《交流电气装置的过电压保护和绝缘配合》(DL/T620-1997)第3.2.2条、第4.1.1-b)条。 第4.1.1-b)条:对范围I中110kV及220kV系统,工频过电压一般不超过1.3p.u。

相关内容:发电厂,变电所,装置,海拔,高度,盐密,0.18mg,户外,构架,间隙

猜你喜欢

发表评论
更多 网友评论0 条评论)
暂无评论

访问排行

Copyright © 2012-2014 恰考网 Inc. 保留所有权利。 Powered by tikuer.com

页面耗时0.0433秒, 内存占用1.04 MB, Cache:redis,访问数据库18次