某220kV变电所,所址环境温度35T,大气污秽III级,海拔1000m,所 内的220kV设备用普通敞开式电器,户外中型布置,220kV配电装置为双母线...

作者: tihaiku 人气: - 评论: 0
问题 某220kV变电所,所址环境温度35T,大气污秽III级,海拔1000m,所 内的220kV设备用普通敞开式电器,户外中型布置,220kV配电装置为双母线,母线三 相短路电流25kA,其中一回接线如图,最大输送功率200MV
选项 A。 隔离开关持续电流为:( )
答案 B
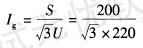
解析 回路持续工作电流为线路最大负荷电流,即=0.52486kA=524.86A

相关内容:变电所,所址,环境,温度,大气,污秽,海拔,内的,备用,电器,户外,装置,母线

猜你喜欢

发表评论
更多 网友评论0 条评论)
暂无评论

访问排行

Copyright © 2012-2014 恰考网 Inc. 保留所有权利。 Powered by tikuer.com

页面耗时0.0490秒, 内存占用1.04 MB, Cache:redis,访问数据库18次