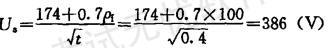
某220kV变电站,已知其站区的土壤电阻率ρ为1OOΩ?m,若接地短路(故障)电流的持续时间t取0.4s,试计算接地装置的接触电位差和跨步电位差的允许值,...

作者: tihaiku 人气: - 评论: 0
问题 某220kV变电站,已知其站区的土壤电阻率ρ为1OOΩ?m,若接地短路(故障)电流的持续时间t取0.4s,试计算接地装置的接触电位差和跨步电位差的允许值, 跨步电位差允许值计算结果是()。
选项 A.315V; B.386V; C.405V; D.478V。
答案 B
解析 根据DL/T 621—1997P3第3.4条计算公式计算如下

相关内容:变电站,站区,土壤,电阻率,接地,短路,故障,装置,接触,电位差

猜你喜欢

发表评论
更多 网友评论0 条评论)
暂无评论

访问排行

Copyright © 2012-2014 恰考网 Inc. 保留所有权利。 Powered by tikuer.com

页面耗时0.0406秒, 内存占用1.05 MB, Cache:redis,访问数据库20次