钢芯招绞线的强度,由铝绞强度总和加钢丝1%伸长时的强度总和组成。 钢芯铝绞线 LGJ300/70(结构为铝30/3.6,钢7/3.6),σ0=162N...

作者: tihaiku 人气: - 评论: 0
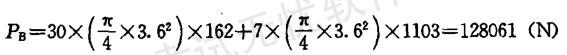
问题 钢芯招绞线的强度,由铝绞强度总和加钢丝1%伸长时的强度总和组成。 钢芯铝绞线 LGJ300/70(结构为铝30/3.6,钢7/3.6),σ0=162N/mm2,σ1%=1103,其拉断力应为()。
选项 A.11OOOON; B.115000N; C.120000N; D.128000N。
答案 D
解析 根据《电力工程髙压送电线路设计手册》(第二版)。

相关内容:钢芯招,绞线,强度,铝绞,总和,钢丝,钢芯,LGJ300,结构,162N...

猜你喜欢

发表评论
更多 网友评论0 条评论)
暂无评论

访问排行

Copyright © 2012-2014 恰考网 Inc. 保留所有权利。 Powered by tikuer.com

页面耗时0.0412秒, 内存占用1.04 MB, Cache:redis,访问数据库19次