三个重物m1、m2. m3用一绕过两个定滑轮M和N的绳子相连,如图所示。当重物m1下降时,重物m2在四棱柱ABCD的上面向右移动,而重物m3则沿侧而AB上...

作者: tihaiku 人气: - 评论: 0
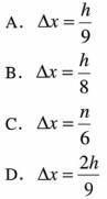
问题 三个重物m1、m2. m3用一绕过两个定滑轮M和N的绳子相连,如图所示。当重物m1下降时,重物m2在四棱柱ABCD的上面向右移动,而重物m3则沿侧而AB上升。若三个重物的质量均为M;四棱柱的质量为9M,它置于水平光滑面上,开始物系静止。当重物m1下降h时,四棱柱的位移Δx为( )。
选项
答案 B
解析 对于图示滑轮机构,当重物m1下降h时,m2沿水平方向相对于四棱柱的位移为h,m3沿水平方向相对于四棱柱的位移为hcos60°;水平方向上系统不受外力作用,因此根据动量定理可知,水平方向上系统的质心位置保持不变;由杠杆原理可得,四棱柱的位移为

相关内容:三个,重物,两个,定滑轮,绳子,如图,棱柱,移动,沿侧

猜你喜欢

发表评论
更多 网友评论0 条评论)
暂无评论

Copyright © 2012-2014 恰考网 Inc. 保留所有权利。 Powered by tikuer.com

页面耗时0.0454秒, 内存占用1.03 MB, Cache:redis,访问数据库13次