如图所示电路的逻辑式是( )。

作者: tihaiku 人气: - 评论: 0
问题 如图所示电路的逻辑式是( )。
选项
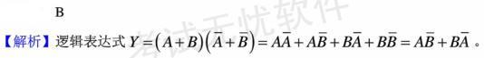
答案 B
解析

相关内容:如图,电路,逻辑

猜你喜欢

发表评论
更多 网友评论0 条评论)
暂无评论

Copyright © 2012-2014 恰考网 Inc. 保留所有权利。 Powered by tikuer.com

页面耗时0.0635秒, 内存占用1.03 MB, Cache:redis,访问数据库16次