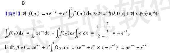
设函数fx在0,+∞上连续,则f(x)是()。A. xe-x B.xe-x-ex-1 C. ex-1 D. (x-1)e-x

作者: tihaiku 人气: - 评论: 0
问题 设函数fx在0,+∞上连续,则f(x)是()。
选项 A. xe-x B.xe-x-ex-1 C. ex-1 D. (x-1)e-x
答案 B
解析
  • 上一篇:
  • 下一篇:

猜你喜欢

发表评论
更多 网友评论0 条评论)
暂无评论

Copyright © 2012-2014 恰考网 Inc. 保留所有权利。 Powered by tikuer.com

页面耗时0.0508秒, 内存占用1.04 MB, Cache:redis,访问数据库19次