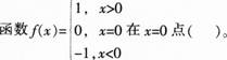
A、极限存在、且等于0 B、左、右极限存在、但极限不存在 C、左极限存在、但右极限不存在 D、左极限不存在、但右极限存在

作者: tihaiku 人气: - 评论: 0
问题
选项 A、极限存在、且等于0 B、左、右极限存在、但极限不存在 C、左极限存在、但右极限不存在 D、左极限不存在、但右极限存在
答案 B
解析

猜你喜欢

发表评论
更多 网友评论0 条评论)
暂无评论

Copyright © 2012-2014 恰考网 Inc. 保留所有权利。 Powered by tikuer.com

页面耗时0.0312秒, 内存占用1.03 MB, Cache:redis,访问数据库17次