当时的极限( )。A、等于2 B、等于零 C、为∞ D、不存在但不为∞

作者: tihaiku 人气: - 评论: 0
问题 当时的极限( )。
选项 A、等于2 B、等于零 C、为∞ D、不存在但不为∞
答案 D
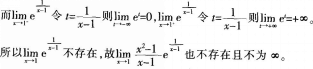
解析

猜你喜欢

发表评论
更多 网友评论0 条评论)
暂无评论

Copyright © 2012-2014 恰考网 Inc. 保留所有权利。 Powered by tikuer.com

页面耗时0.0274秒, 内存占用1.03 MB, Cache:redis,访问数据库19次