设f(x)函数在[0,+∞)上连续,则f(x)是: A. xe-x B.xe-x-ex-1 C. ex-2 D. (x-1)e-x

作者: tihaiku 人气: - 评论: 0
问题 设f(x)函数在[0,+∞)上连续,则f(x)是: A. xe-x B.xe-x-ex-1 C. ex-2 D. (x-1)e-x
选项
答案 B
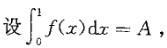
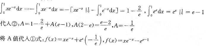
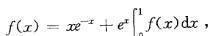
解析 提示:于是原题化为f(x)=xe-x+Aex......① 分别计算出定积分值:

猜你喜欢

发表评论
更多 网友评论0 条评论)
暂无评论

Copyright © 2012-2014 恰考网 Inc. 保留所有权利。 Powered by tikuer.com

页面耗时0.0442秒, 内存占用1.04 MB, Cache:redis,访问数据库19次