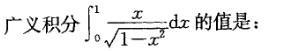
A. 1 B. -1 C.1/2 D.广义积分发散

作者: tihaiku 人气: - 评论: 0
问题 A. 1 B. -1 C.1/2 D.广义积分发散
选项
答案 A
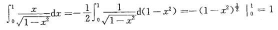
解析 提示:x=1为无穷不连续点,利用凑微分的方法计算如下:

猜你喜欢

发表评论
更多 网友评论0 条评论)
暂无评论

Copyright © 2012-2014 恰考网 Inc. 保留所有权利。 Powered by tikuer.com

页面耗时0.0323秒, 内存占用1.04 MB, Cache:redis,访问数据库19次