曲线y =-ex(x≥0)与直线x= 0,y = 0所围图形绕Ox轴旋转所得旋转体的体积为:A.π/2 B.π C.π/3 D.π/4

作者: tihaiku 人气: - 评论: 0
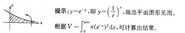
问题 曲线y =-ex(x≥0)与直线x= 0,y = 0所围图形绕Ox轴旋转所得旋转体的体积为:
选项 A.π/2 B.π C.π/3 D.π/4
答案 A
解析

相关内容:曲线,直线,图形,所得,旋转体,体积

猜你喜欢

发表评论
更多 网友评论0 条评论)
暂无评论

Copyright © 2012-2014 恰考网 Inc. 保留所有权利。 Powered by tikuer.com

页面耗时0.0364秒, 内存占用1.04 MB, Cache:redis,访问数据库18次