设幂级数的收敛区间是: A. (-2,2) B. (-2,4) C. (0,4) D. (-4,0)

作者: tihaiku 人气: - 评论: 0
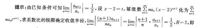
问题 设幂级数的收敛区间是: A. (-2,2) B. (-2,4) C. (0,4) D. (-4,0)
选项
答案 C
解析 t ≤2收敛,代入得-2

猜你喜欢

发表评论
更多 网友评论0 条评论)
暂无评论

Copyright © 2012-2014 恰考网 Inc. 保留所有权利。 Powered by tikuer.com

页面耗时0.0289秒, 内存占用1.04 MB, Cache:redis,访问数据库19次