三个人独立地破译一份密码,每人能独立译出这份密码的概率分别为1/5、1/3、1/4,则这份密码被译出的概率为: A.1/3 B.1/2 C.2/5 D.3/5

作者: tihaiku 人气: - 评论: 0
问题 三个人独立地破译一份密码,每人能独立译出这份密码的概率分别为1/5、1/3、1/4,则这份密码被译出的概率为: A.1/3 B.1/2 C.2/5 D.3/5
选项
答案 D
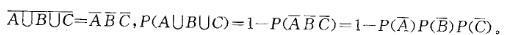
解析 提示:设每个人独立译出密码分别记为A、B、C,则这份密码被译出表示为AUBUC,

相关内容:个人,密码,概率

猜你喜欢

发表评论
更多 网友评论0 条评论)
暂无评论

Copyright © 2012-2014 恰考网 Inc. 保留所有权利。 Powered by tikuer.com

页面耗时0.0265秒, 内存占用1.04 MB, Cache:redis,访问数据库18次