已知m/M摩尔的理想气体,它的分子自由度为i,k是为玻兹曼常量,R及为摩尔气体常量,当该气体从状态a(p1,V1,T1)到状态b(p2,V2,T2)的变化...

作者: tihaiku 人气: - 评论: 0
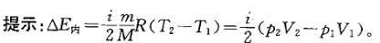
问题 已知m/M摩尔的理想气体,它的分子自由度为i,k是为玻兹曼常量,R及为摩尔气体常量,当该气体从状态a(p1,V1,T1)到状态b(p2,V2,T2)的变化过程中,其内能变化为:
选项
答案 B
解析

相关内容:摩尔,理想,气体,分子,自由度,玻兹,常量,当该,状态,变化

猜你喜欢

发表评论
更多 网友评论0 条评论)
暂无评论

Copyright © 2012-2014 恰考网 Inc. 保留所有权利。 Powered by tikuer.com

页面耗时0.0378秒, 内存占用1.04 MB, Cache:redis,访问数据库19次