—容器内储有某种理想气体,如果容器漏气,则容器内气体分子的平均平动动能和容器内气体内能变化情况是: A.分子的平均平动动能和气体的内能都减少 B.分子...

作者: tihaiku 人气: - 评论: 0
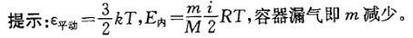
问题 —容器内储有某种理想气体,如果容器漏气,则容器内气体分子的平均平动动能和容器内气体内能变化情况是: A.分子的平均平动动能和气体的内能都减少 B.分子的平均平动动能不变,但气体的内能减少 C.分子的平均平动动能减少,但气体的内能不变 D.分子的平均平动动能和气体的内能都不变
选项
答案 B
解析

相关内容:容器,内储,理想,气体,分子,平动,动能,内能,变化,情况

猜你喜欢

发表评论
更多 网友评论0 条评论)
暂无评论

Copyright © 2012-2014 恰考网 Inc. 保留所有权利。 Powered by tikuer.com

页面耗时0.0317秒, 内存占用1.04 MB, Cache:redis,访问数据库18次