频率为100Hz,传播速度为300m/s的平面简谐波,波线上两点振动的相位差为(1/3)π,则此两点间的距离是: A. 2m B. 2.19m C. 0...

作者: tihaiku 人气: - 评论: 0
问题 频率为100Hz,传播速度为300m/s的平面简谐波,波线上两点振动的相位差为(1/3)π,则此两点间的距离是: A. 2m B. 2.19m C. 0. 5m D. 28. 6m
选项
答案 C
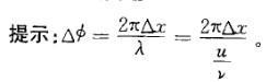
解析

相关内容:频率,传播,速度,平面,谐波,振动,相位差,距离

猜你喜欢

发表评论
更多 网友评论0 条评论)
暂无评论

Copyright © 2012-2014 恰考网 Inc. 保留所有权利。 Powered by tikuer.com

页面耗时0.0739秒, 内存占用1.04 MB, Cache:redis,访问数据库19次