沿波的传播方向(X轴)上,有两点相距1/3m(λ>1/3m),B点的振动比A 点滞后1/24s,相位比A点落后π/6,此波的频率v为: A. 2Hz B...

作者: tihaiku 人气: - 评论: 0
问题 沿波的传播方向(X轴)上,有两点相距1/3m(λ>1/3m),B点的振动比A 点滞后1/24s,相位比A点落后π/6,此波的频率v为: A. 2Hz B. 4Hz C. 6Hz D. 8Hz
选项
答案 A
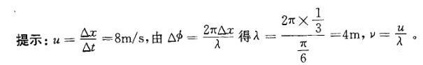
解析

相关内容:沿波,传播,方向,振动,相位,落后,此波,频率

猜你喜欢

发表评论
更多 网友评论0 条评论)
暂无评论

Copyright © 2012-2014 恰考网 Inc. 保留所有权利。 Powered by tikuer.com

页面耗时0.0332秒, 内存占用1.04 MB, Cache:redis,访问数据库18次