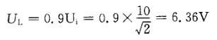
图示电路中,若输入电压Ui=10sin(ωt +30o)V,则输出电压的增均值UL为: A. 3. 18V B. 5V C. 6. 36V D. 10V

作者: tihaiku 人气: - 评论: 0
问题 图示电路中,若输入电压Ui=10sin(ωt +30o)V,则输出电压的增均值UL为: A. 3. 18V B. 5V C. 6. 36V D. 10V
选项
答案 C
解析 提示:该电路为桥式全波整流电路

相关内容:电路,电压,均值

猜你喜欢

发表评论
更多 网友评论0 条评论)
暂无评论

Copyright © 2012-2014 恰考网 Inc. 保留所有权利。 Powered by tikuer.com

页面耗时0.0301秒, 内存占用1.04 MB, Cache:redis,访问数据库19次