上、下游水箱中间有一连接管,水箱水位恒定,见图21。连接管内充填两种不同的砂层(k1=0.003m/s,k2=0.001m/s),管道断面积为0.01m2...

作者: tihaiku 人气: - 评论: 0
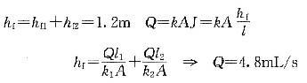
问题 上、下游水箱中间有一连接管,水箱水位恒定,见图21。连接管内充填两种不同的砂层(k1=0.003m/s,k2=0.001m/s),管道断面积为0.01m2,渗流量为( )。
选项 A 4.8mL/s B 3.2mL/s C 5.3mL/s D 2.4mL/s
答案 A
解析

相关内容:下游,水箱,连接管,水位,砂层,0.003m,0.001m,管道,面积,0.01m2...

猜你喜欢

发表评论
更多 网友评论0 条评论)
暂无评论

Copyright © 2012-2014 恰考网 Inc. 保留所有权利。 Powered by tikuer.com

页面耗时0.0318秒, 内存占用1.04 MB, Cache:redis,访问数据库18次