虹吸管将A池中的水输入B池,如图19所示。已知长度l1=3m,l2=5m,直径d=75mm,两池水面高差H=2m,最大超高h=1.8m,沿程阻力系数λ=0...

作者: tihaiku 人气: - 评论: 0
问题 虹吸管将A池中的水输入B池,如图19所示。已知长度l1=3m,l2=5m,直径d=75mm,两池水面高差H=2m,最大超高h=1.8m,沿程阻力系数λ=0.02,局部阻力系数:进口ζa=0.5,转弯ζb=0.2,出口ζc=1,则流量Q及管道最大超高断面的真空度为( )。
选项 A 14.1L/s 3.1mH2O B 16.1L/s 3.5mH2O C 12.5L/s 2.9mH2O D 15.2L/s 3.4mH2O
答案 A
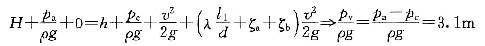
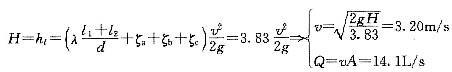
解析 列上下游水池的伯努利方程列上游水池和最大超高处的伯努利方程

相关内容:虹吸管,如图,19所示,长度,直径,两池,水面,高差,沿程,阻力,系数

猜你喜欢

发表评论
更多 网友评论0 条评论)
暂无评论

Copyright © 2012-2014 恰考网 Inc. 保留所有权利。 Powered by tikuer.com

页面耗时0.0434秒, 内存占用1.04 MB, Cache:redis,访问数据库20次