甲将弹簧由原长拉伸0.03m,乙继甲之后再将弹簧继续拉伸0.02m。问甲、乙两人谁作的功多些?( )A 甲作的功多 B 乙作的功多 C 甲、乙作功相同...

作者: tihaiku 人气: - 评论: 0
问题 甲将弹簧由原长拉伸0.03m,乙继甲之后再将弹簧继续拉伸0.02m。问甲、乙两人谁作的功多些?( )
选项 A 甲作的功多 B 乙作的功多 C 甲、乙作功相同 D 不能确定
答案 B
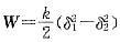
解析 弹性力的功,其中k为弹簧刚度,δ1为弹簧初始变形,δ2为弹簧终了变形

猜你喜欢

发表评论
更多 网友评论0 条评论)
暂无评论

Copyright © 2012-2014 恰考网 Inc. 保留所有权利。 Powered by tikuer.com

页面耗时0.0351秒, 内存占用1.03 MB, Cache:redis,访问数据库20次