一定量的理想气体贮于容器中,则该气体分子热运动的平均自由程仅决定于( )。A 压强P B 体积V C 温度T D 分子的平均碰撞频率

作者: tihaiku 人气: - 评论: 0
问题 一定量的理想气体贮于容器中,则该气体分子热运动的平均自由程仅决定于( )。
选项 A 压强P B 体积V C 温度T D 分子的平均碰撞频率
答案 B
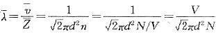
解析,按题意,一定量的理想气体在容器中,其总分子数N不会改变,所以仅取决于体积V,故选(B)

相关内容:一定量,理想,气体,贮于,容器,分子,运动,程仅决,压强,体积,温度,碰撞,频率

猜你喜欢

发表评论
更多 网友评论0 条评论)
暂无评论

Copyright © 2012-2014 恰考网 Inc. 保留所有权利。 Powered by tikuer.com

页面耗时0.0299秒, 内存占用1.04 MB, Cache:redis,访问数据库18次