矩阵的特征值为( )。A λ1=λ2=1,λ3=2 B λ1=1,λ2=λ3=2 C λ1=1,λ2=2,λ3=3 D λ1=λ2=1,λ3=3

作者: tihaiku 人气: - 评论: 0
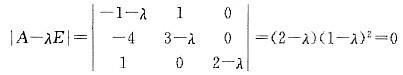
问题 矩阵的特征值为( )。
选项 A λ1=λ2=1,λ3=2 B λ1=1,λ2=λ3=2 C λ1=1,λ2=2,λ3=3 D λ1=λ2=1,λ3=3
答案 A
解析 A的特征多项式 特征值为λ1=λ2=1,λ3=2

猜你喜欢

发表评论
更多 网友评论0 条评论)
暂无评论

Copyright © 2012-2014 恰考网 Inc. 保留所有权利。 Powered by tikuer.com

页面耗时0.0328秒, 内存占用1.03 MB, Cache:redis,访问数据库20次