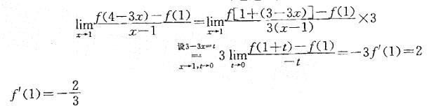
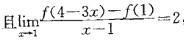
已知函数f(x)在x=1处可导,则f'(1)等于: A. 2 B. 1

作者: tihaiku 人气: - 评论: 0
问题 已知函数f(x)在x=1处可导,则f'(1)等于: A. 2 B. 1
选项
答案 D
解析 解:可利用函数在一点x0可导的定义,通过计算得到最后结果。 选D。
  • 上一篇:
  • 下一篇:

猜你喜欢

发表评论
更多 网友评论0 条评论)
暂无评论

Copyright © 2012-2014 恰考网 Inc. 保留所有权利。 Powered by tikuer.com

页面耗时0.0508秒, 内存占用1.03 MB, Cache:redis,访问数据库15次