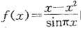
函数的可去间断点的个数为: A. 1个 B.2个 C.3个 D.无穷多个

作者: tihaiku 人气: - 评论: 0
问题 函数的可去间断点的个数为: A. 1个 B.2个 C.3个 D.无穷多个
选项
答案 B
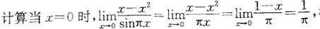
解析 提示:使分母为0的点为间断点,可知sinπx= 0,x=0,±1,±2,…为间断点,再利用可去间断点定义,找出可去间断点。 极限存在,可知x=0为函数的一个可去间断点。 同样可计算当x=1时,极限为1/π,因而x=1也是一个可去间断点。其余点求极限均不满足可去间断点定义。

猜你喜欢

发表评论
更多 网友评论0 条评论)
暂无评论

Copyright © 2012-2014 恰考网 Inc. 保留所有权利。 Powered by tikuer.com

页面耗时0.0437秒, 内存占用1.03 MB, Cache:redis,访问数据库18次