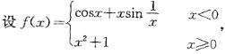
则x=0是f(x)的: A.可去间断点 B.跳跃间断点 C.振荡间断点 D.连续点

作者: tihaiku 人气: - 评论: 0
问题 则x=0是f(x)的: A.可去间断点 B.跳跃间断点 C.振荡间断点 D.连续点
选项
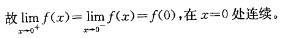
答案 D
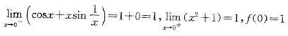
解析 提示:求x→0+、x→0-时函数的极限值,利用可去间断点、跳跃间断点、振荡间断点、连续点定义判定,计算如下:

猜你喜欢

发表评论
更多 网友评论0 条评论)
暂无评论

Copyright © 2012-2014 恰考网 Inc. 保留所有权利。 Powered by tikuer.com

页面耗时0.0895秒, 内存占用1.01 MB, Cache:redis,访问数据库18次