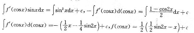
设f'(cosx)=sinx,则f(cosx)等于: A. -cosx+c B. cosx+c C.1/2[(sin2x)/2-x]+c D.1/2...

作者: tihaiku 人气: - 评论: 0
问题 设f'(cosx)=sinx,则f(cosx)等于: A. -cosx+c B. cosx+c C.1/2[(sin2x)/2-x]+c D.1/2 (2sin2x-x) +c
选项
答案 C
解析 提示:把式子两边同乘sinx后,计算不定积分。解法如下: f'(cosx)sinx=sin2x

猜你喜欢

发表评论
更多 网友评论0 条评论)
暂无评论

Copyright © 2012-2014 恰考网 Inc. 保留所有权利。 Powered by tikuer.com

页面耗时0.0363秒, 内存占用1.01 MB, Cache:redis,访问数据库15次