高速公路排水沟呈梯形断面,设计沟内水深1.0m,过水断面积W= 20m2,湿周ρ= 4.10m,沟底纵坡0.005,排水沟粗糙系数n=0.025。问该排水...

作者: tihaiku 人气: - 评论: 0
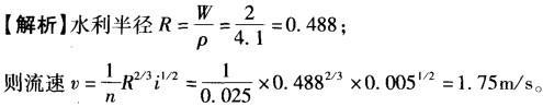
问题 高速公路排水沟呈梯形断面,设计沟内水深1.0m,过水断面积W= 20m2,湿周ρ= 4.10m,沟底纵坡0.005,排水沟粗糙系数n=0.025。问该排水沟的最大流速最接近于下列哪个选项?( ) A. 1.67m/s B.3. 34m/s C. 4. 55m/s D. 20. 5m/s
选项
答案 A
解析

相关内容:高速公路,排水沟,梯形,断面,设计,水深,过水,面积,湿周,纵坡,系数,问该,排水

猜你喜欢

发表评论
更多 网友评论0 条评论)
暂无评论

访问排行

Copyright © 2012-2014 恰考网 Inc. 保留所有权利。 Powered by tikuer.com

页面耗时0.0457秒, 内存占用1.04 MB, Cache:redis,访问数据库18次