某住宅区建筑场地位于北京延庆地区,场地中某钻孔勘探资料如表9-8所示。地下水位埋深4.5m,基础埋深3.5m.该钻孔的液化指数IlE应为( )。 A...

作者: tihaiku 人气: - 评论: 0
问题 某住宅区建筑场地位于北京延庆地区,场地中某钻孔勘探资料如表9-8所示。地下水位埋深4.5m,基础埋深3.5m.该钻孔的液化指数IlE应为( )。 A. 13.5 B. 14.0 C. 14.8 D. 15.5
选项
答案 B
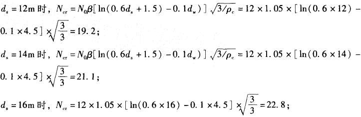
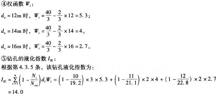
解析 根据《建筑抗震设计规范》(GB 50011—2010),具体步骤如下: ①进行液化初判: 根据第4.3.3条,北京延庆地区设防烈度为8度,第4层粗砂土地质年代为Q3,可判为不液化。 根据附录A,北京延庆地区设防烈度为8度,设计基本地震加速度为0.2g,设计地震分组为第一组,第2层粉土层的黏粒含量为14%,可判为不液化土;对第3层中砂土,根据表4.3.3 得d0=8,则有d0+db-2=8+3.5-2=9.5=du, d0+db-3=8+3.5-3=8.5>dw=4.5m,1.5d0+2db-4.5= 1.5×8+2×3.5-4.5=14.5>du+dw=14.5,均不符合条件。所以不能排除第三层中砂土的液化性,需进行进一步判别。 ②对第3层中砂土进行液化复判(进一步判别): 根据第4.3.4条,取判别深度为20m。 根据表4.3.4可知N0=12,计算临界标准贯入锤击数Ncr:

相关内容:住宅区,建筑,场地,北京,延庆,地区,地中,钻孔,勘探,资料,9-8所示,地下,水位,埋深,基础,液化,指数

猜你喜欢

发表评论
更多 网友评论0 条评论)
暂无评论

访问排行

Copyright © 2012-2014 恰考网 Inc. 保留所有权利。 Powered by tikuer.com

页面耗时0.0395秒, 内存占用1.05 MB, Cache:redis,访问数据库17次