某柱下扩展基础,如图2所示柱截面尺寸为600mm×400mm,基础高为600mm,基础底面尺寸为3.0m×2.4m,传至基础底面荷载效应基本值产生的基底净...

作者: tihaiku 人气: - 评论: 0
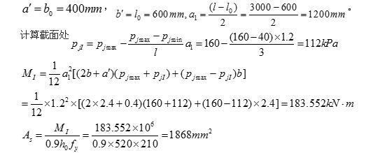
问题 某柱下扩展基础,如图2所示柱截面尺寸为600mm×400mm,基础高为600mm,基础底面尺寸为3.0m×2.4m,传至基础底面荷载效应基本值产生的基底净反力最小值Pmin=40kPa,最大Pmax=160kPa。混凝土强度等级为C20(fc=9.6N/mm2),钢筋采用HPB235级钢筋(fy=210N/mm2)。基础下为100mm的C10混凝土垫层。基础纵向计算配筋面积最接近于(  )mm2/m。
选项 A.1275 B.1658 C.2430 D.920
答案 C
解析 根据《建筑地基基础设计规范》(GB 50007—2011)第8.2.11条规定,计算截面选在柱边缘处,则有: 为安全起见并考虑到方便施工,根据钢筋表选择适当数量的钢筋,应选配2430mm2/m。

相关内容:某柱下,基础,如图,截面,尺寸,底面,荷载,效应,基底

猜你喜欢

发表评论
更多 网友评论0 条评论)
暂无评论

访问排行

Copyright © 2012-2014 恰考网 Inc. 保留所有权利。 Powered by tikuer.com

页面耗时0.0498秒, 内存占用1.05 MB, Cache:redis,访问数据库18次