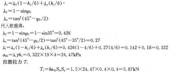
如图9所示的加筋土挡土墙,拉筋间水平及垂直间距Sx=Sy=0.4m,填料重度γ=19kN/m3,综合内摩擦角ψ=35°,按《铁路支挡结构设计规范》(TB ...

作者: tihaiku 人气: - 评论: 0
问题 如图9所示的加筋土挡土墙,拉筋间水平及垂直间距Sx=Sy=0.4m,填料重度γ=19kN/m3,综合内摩擦角ψ=35°,按《铁路支挡结构设计规范》(TB 10025—2001),深度4m处的拉筋拉力最接近下列哪一选项(拉筋拉力峰值附加系数取k=1.5)?(  )
选项 A.3.9kN B.4.9kN C.5.9kN D.6.9kN
答案 C
解析 根据《铁路路基支档结构设计规范》(TB 10025—2006)(2009年版)第8.2.8条规定,墙后填料产生的水平土压力为:; 式中,

相关内容:如图,加筋,土挡,土墙,拉筋间,水平,间距,填料,综合,铁路支挡结构设计规范

猜你喜欢

发表评论
更多 网友评论0 条评论)
暂无评论

访问排行

Copyright © 2012-2014 恰考网 Inc. 保留所有权利。 Powered by tikuer.com

页面耗时0.0334秒, 内存占用1.05 MB, Cache:redis,访问数据库20次